Πρωτόκολλα Μαιευτικής

Αιμορραγία και κύηση

Α. Μαμόπουλος

Επίκουρος Καθηγητής - Μαιευτικής & Γυναικολογίας, Α.Π.Θ.

Α. Δανιηλίδης

Λέκτορας – Μαιευτικής & Γυναικολογίας, Α.Π.Θ.

Μπορεί να είναι μεγάλη σε μικρό χρονικό διάστημα, ή να μην γίνει σωστή εκτίμηση της ποσότητας της αιμορραγίας. Θα πρέπει να γίνει άμεση κινητοποίηση και να αναζητηθεί βοήθεια από μαιευτήρες, αναισθησιολόγους,μαίες και αιματολόγους.

I) Αιμορραγία πριν από τον τοκετό

Έτσι ορίζεται η αιμορραγία από τον κόλπο που εμφανίζεται μετά την 24η εβδομάδα κύησης. Παρουσιάζεται στο 2% έως και 5% των κυήσεων και μπορεί να οφείλεται:

    • Σε αποκόλληση του πλακούντα (1-2% των κυήσεων)
    • Προδρομικό πλακούντα (0,5% στο τρίτο τρίμηνο)
    • Ρήξη της μήτρας (0,03-0,08% του συνόλου των κυήσεων και 0,3-1,7% όταν προϋπάρχει ουλή στη μήτρα)
    • Προδρομικά αγγεία (δηλαδή εμβρυϊκά αγγεία με ανώμαλη πρόσφυση στους υμένες κι όχι στον πλακούντα)
    • Παθήσεις του κόλπου ή του τραχήλου

 

Η λήψη σωστού ιστορικού παίζει σημαντικό ρόλο για τον καθορισμό του αιτίου της αιμορραγίας, καθώς η ποσότητα του αίματος μπορεί να μη συμβαδίζει με τη σοβαρότητα της κατάστασης (π.χ. κεντρική αποκόλληση του πλακούντα)

Μαιευτικά Αίτια Μη Μαιευτικά αίτια
Αίμα από διαστολή του τραχήλου Καρκίνος ή δυσπλασία του τραχήλου της μήτρας
Προδρομικός πλακούντας Τραχηλίτιδα
Αποκόλληση πλακούντα Τραχηλικός πολύποδαςtd>
Διάχυτη Ενδαγγειακή Πήξη Τραχηλικό εκτρόπιο
Ρήξη μήτρας Ρήξη ή τραυματισμός κόλπου
Υμενώδης πρόσφυση ομφαλίου λώρου Κολπίτιδα

Πίνακας 1: Συχνότερα αίτια κολπικής αιμόρροιας κατά το 3ο τρίμηνο της κύησης

Aντιμετώπιση

    • Έλεγχος και απόφαση με βάση την :
        • Κατάσταση της εγκύου
        • Κατάσταση του εμβρύου
        • Ηλικία της κύησης
    • Η έγκυος πρέπει να έχει σταθεροποιηθεί πριν αποφασίσουμε να προχωρήσουμε σε τοκετό, ανεξάρτητα από την κατάσταση του εμβρύου. Κλινικά ευρήματα καταπληξίας στην έγκυο εμφανίζονται όψιμα και όταν έχει πια ελαττωθεί ο ενδοαγγειακός όγκος αίματος τουλάχιστον κατά 30%.
    • ΑΠΑΓΟΡΕΥΕΤΑΙ η διακολπική εξέταση και ψηλάφηση του τραχηλικού στομίου. Μπορεί να επιτραπεί η επισκόπηση μετά από ήπια τοποθέτηση κολποδιαστολέα
    • Ο υπερηχογραφικός έλεγχος έχει ένδειξη μόνο όταν η έγκυος και το έμβρυο είναι σε σταθερή κατάσταση. Μπορεί να χρησιμοποιηθεί για:
        • Επιβεβαίωση της καρδιακής λειτουργίας
        • Αναγνώριση της θέσης του πλακούντα
    • Απαραίτητα βήματα :
        • Έλεγχος πίεσης και σφύξεων
        • Χορήγηση υγρών- αίματος ενδοφλέβια
        • Έλεγχος γενικής αίματος, ομάδος Rh και διασταύρωση
        • Έλεγχος πηκτικού μηχανισμού (αυξημένη πιθανότητα εμφάνισης Διάχυτης Ενδαγγειακής Πήξης). Συγκέντρωση ινωδογόνου< 250mg/dl είναι παθολογική ενώ όταν είναι< 150mg/dl είναι διαγνωστική για διαταραχή του πηκτικού μηχανισμού.

Kλινικά ευρήματα και ενέργειες

    1. Έγκυος σε καταπληξία: απαραίτητη η αρωγή αναισθησιολόγων- αιματολόγων Ανάνηψη:
        1. με χορήγηση ενδοφλεβίως υγρών- αίματος (τουλάχιστον 6 μονάδες αίματος για διασταύρωση). Άμεση χορήγηση 1,5-2lt κολλοειδών διαλυμάτων και 2lt κρυσταλλοειδών. Χορήγηση αίματος (Ο Rhesus αρνητικό εάν δεν υπάρχει διαθέσιμο διασταυρωμένο αίμα). Η έγκυος τοποθετείται σε ύπτια και ΑΡ πλάγια θέση
        2. χορήγηση Ο2 15lt/min
        3. Folley και ωριαία μέτρηση ισοζυγίου προσλαμβανόμενων και αποβαλλόμενων υγρών (η ελάχιστη ωριαία αποβολή ούρων είναι 30ml)
        4. οξύμετρο
        5. ανάλογα με τη σοβαρότητα της κατάστασης μπορεί να τοποθετηθεί κεντρική φλεβική γραμμή και η ασθενής να διακομιστεί στην Μονάδα Εντατικής Θεραπείας
    1. Σταθερή κατάσταση της εγκύου, δυσφορία εμβρύου :
        1. Βιώσιμη κύηση → τοκετός με τον ιδανικότερο, από μαιευτικής άποψης, τρόπο ανάλογα με την περίπτωση
        2. Ενδομήτριος θάνατος → φυσιολογικός τοκετός εφόσον το επιτρέπει η κατάσταση της εγκύου
    2. Σταθερή κατάσταση της εγκύου και του εμβρύου
      Εισαγωγή στην Εμβρυομητρική Μονάδα
      Υπερηχογραφικός έλεγχος για τη θέση του πλακούντα

        1. Προδρομικός πλακούντας. Παρακολούθηση εγκύου και εμβρύου στην εμβρυομητρική μονάδα και απόφαση για καισαρική τομή προγραμματισμένη.
        2. Πλακούντας όχι προδρομικός. Έλεγχος με κολποδιαστολέα για αποκλεισμό παθολογικού κόλπου ή τραχήλου. Παρακολούθηση εγκύου και εμβρύου στην εμβρυομητρική μονάδα.
        3. Χορήγηση 1250iu Anti-D στις Rh- αρνητικές γυναίκες.
        4. Δεν αντενδείκνυται η χορήγηση τοκολυτικής αγωγής σε περίπτωση προσπάθειας αναστολής Πρόωρου τοκετού.

Σημαντικά σημεία

    1. Απαγορεύεται η διακολπική ψηλάφηση του τραχήλου σε περιπτώσεις αιμορραγίας πριν τον τοκετό όταν δεν είναι γνωστή η θέση του πλακούντα
    2. Η αιμοδυναμική σταθεροποίηση της εγκύου προηγείται οποιασδήποτε άλλης μαιευτικής πράξης.

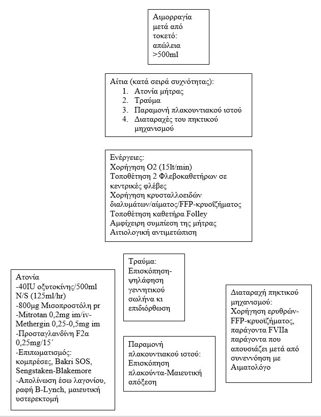
II) Αιμορραγία μετά τον τοκετό.

Ορισμός: η αιμορραγία μετά τον τοκετό που ξεπερνά τα 500mls. Είναι πρωτοπαθής όταν παρουσιάζεται σε < 24 ώρες μετά τον τοκετό και δευτεροπαθής όταν παρουσιάζεται μετά από 24 ώρες και έως και 6 εβδομάδες μετά τον τοκετό.

Τα αίτια της πρωτοπαθούς αιμορραγίας είναι:

    • Ατονία της μήτρας (70% των περιπτώσεων)
    • Τραύμα περινέου, τραχήλου ή μήτρας (20% των περιπτώσεων)
    • Παραμονή στην ενδομήτρια κοιλότητα πλακουντιακού ιστού (10% των περιπτώσεων
    • Διαταραχές πήξεως (1% των περιπτώσεων)

 

Η συχνότητα της αιμορραγίας μετά τον τοκετό είναι αυξημένη σε περιπτώσεις πολύδυμης κύησης, πολυτόκου, ινομυωματώδους μήτρας, προδρομικού πλακούντα, ιστορικού αιμορραγίας σε προηγούμενο τοκετό, παράτασης 3ου σταδίου, επεμβατικού τοκετού, χρήσης οξυτοκίνης στη διάρκεια του τοκετού.

 

Η ενεργητική αντιμετώπιση του 3ου σταδίου (χορήγηση 5-10IU οξυτοκίνης μετά την έξοδο του πρόσθιου ώμου, άμεση απολίνωση και διατομή του ομφαλίου λώρου μετά τη γέννηση του νεογνού και ελεγχόμενη έλξη του ομφάλιου λώρου) φαίνεται να ελαττώνει την πιθανότητα εμφάνισης αιμορραγίας μετά τον τοκετό.

Aντιμετώπιση

Γενικά μέτρα:

    1. Αναζήτηση βοήθειας (Αναισθησιολόγοι-Αιματολόγοι)
    2. Εξασφάλιση διαβατότητας αεραγωγών και χορήγηση οξυγόνου (15lt/min)
    3. Τοποθετούνται 2 μεγάλου εύρους (14 ή 16G) φλεβοκαθετήρες σε δύο κεντρικές φλέβες (π.χ., μεσοβασιλική)
    4. Τοποθετείται καθετήρας Folley για έλεγχο αποβαλλόμενων υγρών (ελάχιστη ωριαία αποβολή ούρων 30ml)
    5. Τοποθετείται παλμικό οξύμετρο για να ελέγχεται ο κορεσμός σε οξυγόνο
    6. Αποστέλλεται αίμα για εξετάσεις: Γενική αίματος, δοκιμασίες ελέγχου του πηκτικού μηχανισμού, ομάδα ΑΒΟ και Rhesus, και για διασταύρωση 4-6 μονάδων συμπυκνωμένων ερυθρών
    7. Αναπλήρωση αίματος με χορήγηση κρυσταλλοειδών (κυρίως) ή κολλοειδών διαλυμάτων. Μετάγγιση με την αντίστοιχη ομάδα ή με Ο Rhesus(-) αν επείγει. Χορήγηση τουλάχιστον 1 μονάδας πλάσματος ανά 4-5 μονάδες συμπυκνωμένων ερυθρών. Πιθανώς χορήγηση και κρυοϊζήματος (συζήτηση με Αιματολόγο).
    8. Ενέργειες ελέγχου της αιμορραγίας ανάλογα με το αίτιο (βλ. παρακάτω).

Ειδικά μέτρα:

Όταν ο πλακούντας δεν έχει αποκολληθεί: Ελεγχόμενη έλξη του πλακούντα με ταυτόχρονη πίεση υπερηβικά προς την αντίθετη κατεύθυνση (χειρισμός Brandt) για να επιταχυνθεί η αποκόλλησή του. Αν αυτός ο χειρισμός δεν είναι επιτυχημένος τότε ανάλογα με το βαθμό της αιμορραγίας επιχειρείται έγχυση διαλύματος οξυτοκίνης στην ομφαλική φλέβα ή δακτυλική αποκόλληση (βλ. κεφάλαιο για Αποκόλληση πλακούντα)

Όταν έχει προηγηθεί αποκόλληση του πλακούντα: Γίνεται ενδελεχής έλεγχος της μητρικής επιφάνειας του πλακούντα και επί υποψίας παραμονής κοτυληδόνας ακολουθεί Μαιευτική απόξεση με αμβλύ Μαιευτικό ξέστρο.

Όταν έχει προηγηθεί αυτόματη υστεροτοκία κι ο πλακούντας φαίνεται ακέραιος: Αμφίχειρη πίεση της μήτρας τουλάχιστον για 1 λεπτό κι έλεγχος τυχόν ελάττωσης του βαθμού αιμορραγίας (η ατονία αποτελεί το συχνότερο αίτιο αιμορραγίας μετά από τοκετό). Αν υπάρχει ελάττωση της ροής του αίματος τότε εφαρμόζονται μητροσυσπαστικά ως εξής:

    1. 40IU οξυτοκίνης σε 500ml διαλύματος Ringer’s με ρυθμό 125ml/hr
    2. Mitrotan 0,2mg im ή iv ή Methergin 0,25-0,5mg im (προσοχή γιατί μπορεί να προκαλέσει υπερτασική κρίση). Προτιμάται η ενδομυϊκή χορήγηση αλλά μπορεί να γίνει κι ενδοφλέβια σε περίπτωση εκσεσημασμένης αιμορραγίας
    3. Προσταγλανδίνη F2a (Hemabate-Enzaprost) 0,25mg κάθε 15 λεπτά, μέχρι 5 δόσεις (προσοχή σε άσθμα, υπέρταση)
    4. Μισοπροστόλη (Cytotec) 800μg διορθικά
    5. Επιπωματισμός της μητριαίας κοιλότητας με κομπρέσες (μέχρι o πυθμένας της μήτρας να αντιστοιχεί σε κύηση 30W)
    6. Τοποθέτηση, στην ενδομήτρια κοιλότητα, καθετήρα Rusch, Bakri SOS balloon ή Sengstaken-Blakemore
    7. Λαπαροτομία και απολίνωση της έσω λαγονίου, υφολική υστερεκτομή ή τοποθέτηση ράμματος κατά B-Lynch
    8. Εμβολισμός μητριαίων αρτηριών από επεμβατικό Ακτινολόγο

(Στη διάρκεια εφαρμογής όλων των παραπάνω μεθόδων συνεχίζει να εφαρμόζεται αμφίχειρη πίεση στη μήτρα)

Όταν ο πλακούντας είναι ακέραιος και η μήτρα έχει συσπαστεί: επισκόπηση ή/ και ψηλάφηση (κατά προτίμηση υπό αναισθησία) του γεννητικού σωλήνα κι έλεγχος για ρήξη μήτρας (0,6% σε κολπικό τοκετό μετά από Καισαρική), εκστροφή μήτρας, ρήξη τραχήλου ή κόλπου. Η αποκατάσταση είναι ανάλογη του αιτίου.

Όταν ο πλακούντας είναι ακέραιος, η μήτρα έχει συσπαστεί και δεν υπάρχει εμφανής τραυματισμός του γεννητικού σωλήνα: πιθανώς υπάρχει διαταραχή του πηκτικού μηχανισμού.

    1. Προσπάθεια να διατηρηθεί η συγκέντρωση του ινωδογόνου>100mg/dl
    2. Προσπάθεια να διατηρηθούν τα αιμοπετάλια >50.000mm3
    3. Διόρθωση της υποκείμενης συγγενούς διαταραχής του μηχανισμού πήξης με χορήγηση του αντίστοιχου παράγοντα, FFP ή κρυοϊζήματος (συνεννόηση με Αιματολόγο)

 

Σημαντικά σημεία

    1. Τα βασικά βήματα καρδιοπνευμονικής αναζωογόνησης (Airway-Breathing-Circulation) δεν πρέπει να αγνοούνται στη διάρκεια της αιμορραγίας.
    2. Η ατονία της μήτρας αποτελεί το συχνότερο αίτιο πρώιμης αιμορραγίας μετά από τοκετό
    3. Κλινικά σημεία υπογκαιμικής καταπληξίας εμφανίζονται όταν η απώλεια αίματος είναι ήδη μεγαλύτερη από 30%. Η ταχυκαρδία αποτελεί έναν αξιόπιστο πρώιμο δείκτη εκτεταμένης απώλειας αίματος.
    4. Είναι σημαντική η σχολαστική καταγραφή των γεγονότων καθώς και των μετρήσεων των: Αρτηριακης πίεσης, κορεσμού, αποβαλλόμενων ούρων, υγρών ή παραγώγων αίματος που χορηγήθηκαν.

Βιβλιογραφία

  1. The Confidential Enquiries into Maternal Deaths in the United Kingdom 1997-1999 RCOG Press.
  2. ALSO Provider Manual (2000) Section C, 4th edition.
  3. Brian Magowan. Obstetrics and Gynaecology. 3rd edition Acute Obstetricians and related medical problems Haemorrhage 2005;4:106-109.
  4. Βιβλίο μας